本系统严禁处理涉密信息
工作秘密及敏感信息
MENU
首页
搜索
学院概况
学院简介
学院领导
机构设置
学科布局
师资队伍
高层次人才
教授风采
副教授
讲师
实验技术人员
人才培养
本科生教育
研究生教育
科学研究
科研方向
科研项目
科研获奖
科研论文
科研著作
专利及成果转化
实验教学
党群工作
社会热点
党建双创
学生工作
合作交流
资料下载
本科生资料下载
研究生资料下载
博士生资料下载
科学研究资料下载
其他资料下载
专业认证
学术活动
师生风采
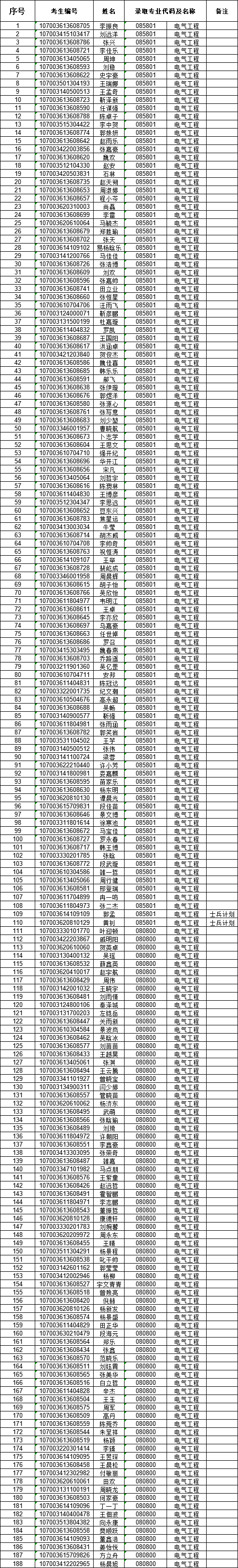
西安理工大学电气工程学院2023年硕士研究生拟录取名单公示
2023年04月12日 作者:电气工程学院 点击:[]
上一条:
西安理工大学电气工程学院2023年博士研究生拟录取名单公示
下一条:
西安理工大学电气工程学院博士师资招聘公告
【
关闭
】